产品概述
Flash极速敲除试剂盒(通用版)通过递送预组装的递送载体、Cas9蛋白与sgRNA复合物(RNP),实现高效、精准的基因敲除,是一款专为科研用户定制研发的即用型基因敲除试剂盒。该产品包含艾迪基因创新研发的 CRISPR RNP 递送载体以及经数千例实战验证过的 Cas 酶,经过特殊处理的递送载体-RNP 复合物能够在哺乳动物细胞中产生高效的基因组编辑。
储存条件及有效期
有效期6个月,储存条件-80°C,干冰运输。建议根据使用次数进行分装,避免反复冻融。
产品组分
| 产品编号 | 组分 | 规格 | 20T |
| EDKO-K04-50 | 递送载体-RNP 复合物 | 50 μL(足够 5 个 24 孔) | 24 孔板,10 μL/孔 |
| EDKO-K04-100 | 递送载体-RNP 复合物 | 100 μL(足够 5 个 12 个孔) | 12 孔板,20 μL/孔 |
注意:本产品只提供一体化的递送载体-RNP 复合物,客户需要提供 sgRNA 序列。
可选组分
| 编号 | 可选项 | 备注 |
| EDKO-K04-50 | 递送载体-RNP 复合物 | 艾迪基因提供 sgRNA 序列设计服务 |
| EDKO-K04-100 | 递送载体-RNP 复合物 | 人 B2M 基因 递送载体-RNP 复合物 |
实验步骤
- 1.细胞培养和铺板(以24孔板为例)
- 细胞培养至生长旺盛状态,转染前24 h,接种细胞至24孔板(对于贴壁细胞,使转染时细胞汇合度为50%~60%;对于悬浮细胞,使转染时细胞数量为1.2×105~1.6×105)。
- 请使用生长状态较好的细胞,并确保细胞无细菌、真菌或支原体污染。如果细胞是近期复苏的液氮冻存细胞,请在转染前至少传代两次。
- 2. 细胞转染
- 提前将载体-RNP 复合物从 -80℃ 转移至4 ℃ 缓慢解冻,每孔加入10 μL 加入时分多次缓慢加入,加入后轻轻晃动混匀。
- 对于贴壁细胞的要求:细胞状态好,分布均匀,汇合度为50%~60%,则可直接加入本产品;
- 对于悬浮细胞的要求:细胞状态好,加入载体-RNP复合物前需将细胞团轻柔吹散,分散均匀后直接加入本产品。
- 3. 分析转染细胞
- 转染48h后,提取所转染细胞的基因组,使用特异性引物扩增靶标区域(扩增子包含sgRNA靶向切割的位置);
- 使用TIDE (分析网址:https://tide.nki.nl/)或者ICE (分析网址:https://ice.synthego.com/#/,使用说明:https://www.synthego.com/guide/how-to-use-crispr/ice-analysis-guide) 等工具进行基因编辑效率分析。
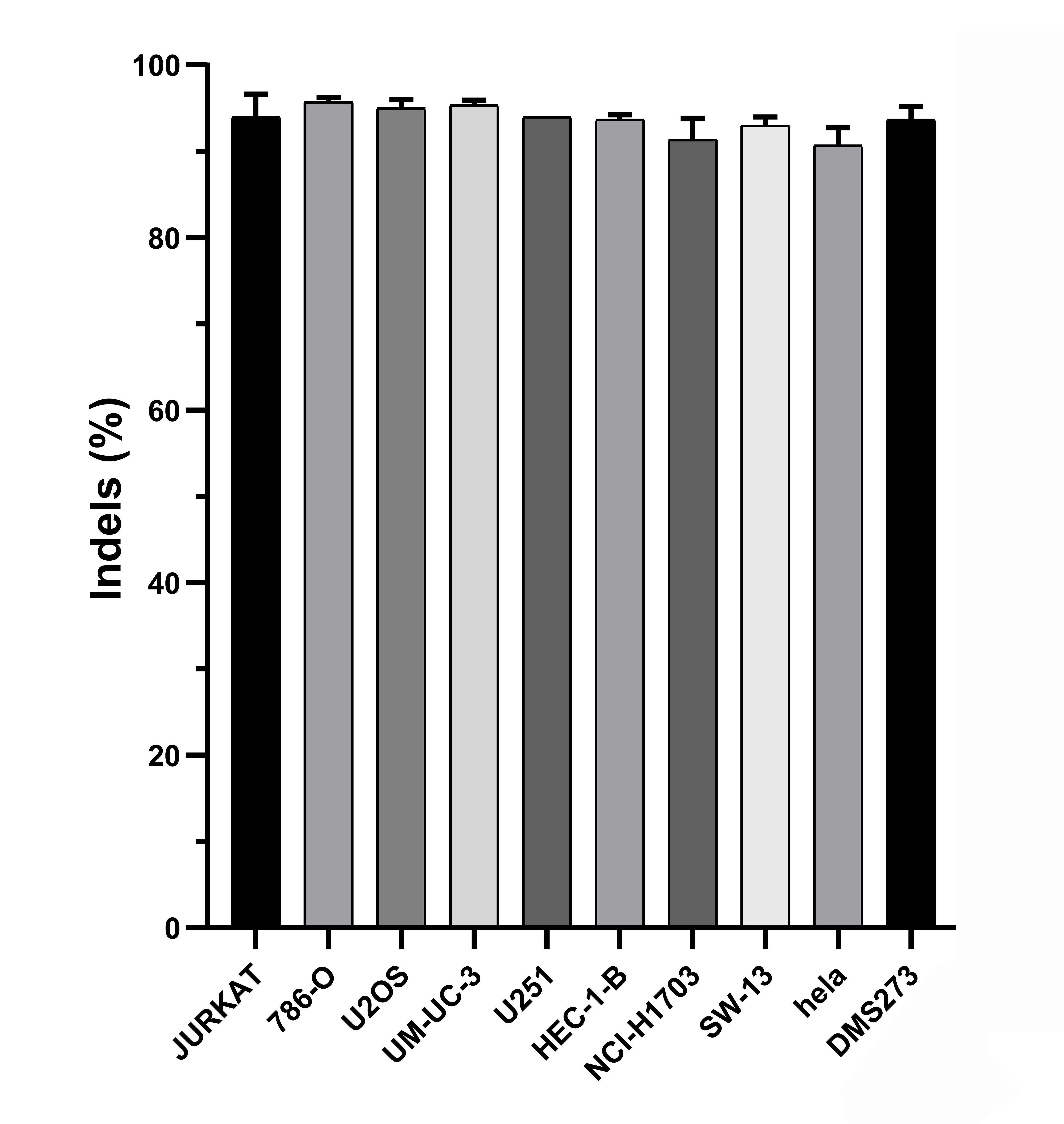
高效编辑结果展示


图1 高效编辑细胞展示图

图 2 Jurkat (B2M) 多克隆 ICE 分析结果

图 3 HEK293T(B2M)多克隆 ICE 分析结果
FAQ
为何对细胞的损伤比较小?
本产品采用先进的生物分子转染技术,相比传统化学转染法的毒性及电转法的物理冲击,具有显著优势。
如何证明无需筛选仍能获得高编辑效率?
本产品已在多个细胞上验证,RNP系统在转染后4小时内即进入细胞发挥作用,Cas9蛋白在24-48小时降解,通过瞬时高效表达实现编辑,无需持续筛选。
能否在悬浮细胞中达到相同效率?
通常而言,悬浮细胞转染难度相对较大。然而,本产品凭借卓越性能,不仅适用于贴壁细胞,在悬浮细胞中同样表现出色。以 Jurkat 细胞为例,转染 48h 后即可实现高达 97% 的编辑效率,充分彰显了本产品在悬浮细胞转染方面的高效率优势,可充分满足您对悬浮细胞转染的高标准需求。